Portal Jawatan Kosong Terkini

Iklan Jawatan Kosong Unit Penyelarasan Pelaksanaan Jabatan Perdana Menteri (ICU JPM)

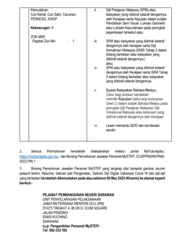
Image 125 600x815Image 126 600x810

RUJUK IKLAN