Portal Jawatan Kosong Terkini

Iklan Jawatan Majlis Daerah Lipis

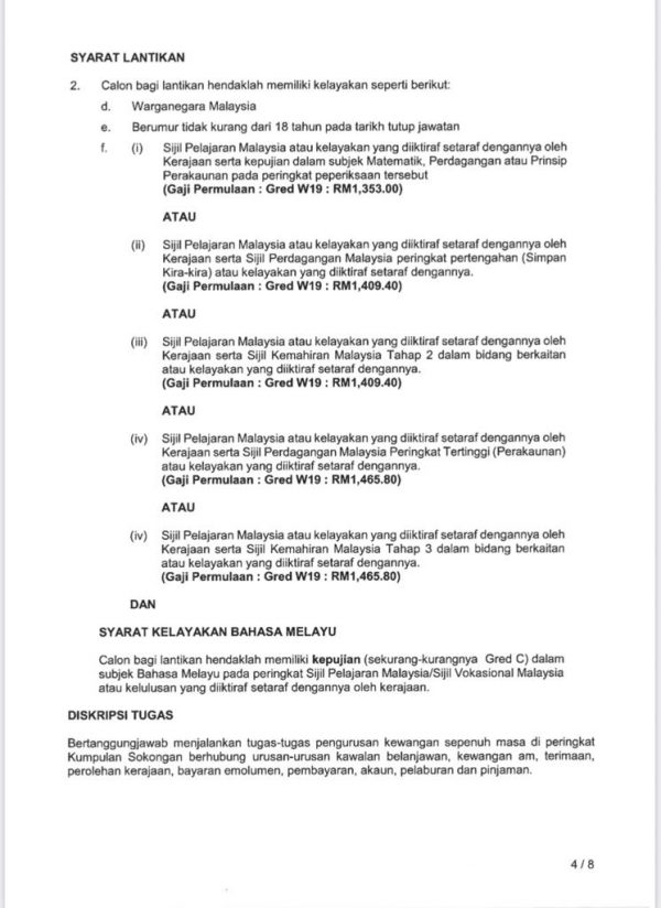
327187841 919386845860014 4652551489130805670 N 600x840329243358 736476351221047 7685086571911167791 N 600x828329195887 1652372038556503 8707266768935293259 N 600x826329250940 556099379799759 8110931554925085399 N 600x824328138676 1123557085004698 8479949664128507358 N 600x826329243482 724938979201974 914358937494980519 N 600x834329220413 740845473972165 1897699624166409610 N 600x821329347960 1740273103034348 5524138223839448070 N 600x821